Dans le cadre des Cordées de la Réussite et dispositif Pass’en Sup, ce mardi 5 mai, un groupe d’élèves de Seconde REMI, TNE et [...]
Mardi 19 mai, le Lions Club du Sauternes a remis le Prix Louis Ricard à cinq élèves du Lycée.Pour la huitième année consécutive, [...]
Lycée Sud Gironde est un établissement de taille humaine qui offre des formations adaptées aux attentes du monde du travail local grâce à des [...]
Baccalauréat Professionnel avec une coloration "Énergies et données sécurisées - Photovoltaïque et Batteries"Accès [...]
Le samedi 21 mars prochain, à l’occasion de la Journée Portes Ouvertes, le Lycée des Métiers Sud Gironde aura l’honneur [...]
[...]
FCIL – Technicien Pilotage de Process(Formation Complémentaire d’Initiative Locale)La FCIL « Technicien Pilotage de Process » forme des [...]
Les 3 et 4 février, le Lycée des Métiers Sud Gironde a organisé son Forum des Métiers et des Formations, un événement clé [...]
Brevet Professionnel Menuisier en apprentissage Lien vers la fiche de présentation sur le site du GRETA-CFA d'Aquitaine [...]
L’apprentissage au Lycée des Métiers Sud GirondeAu Lycée des Métiers Sud Gironde, l’apprentissage est proposé principalement en [...]
La formation CS Serrurier ne sera pas ouverte à la rentrée 2026 en raison de travaux importants, dans l'établissement, ne permettant pas un accueil [...]
Une offre innovante au cœur de la transition énergétiqueLe Lycée des Métiers Sud Gironde, en partenariat avec le GRETA-CFA Aquitaine et [...]
CAP RICS – Réalisations Industrielles en Chaudronnerie / SoudageLien vers la fiche de présentation sur le site du GRETA-CFA d'Aquitaine [...]
Lien vers la fiche de présentation sur le site du GRETA-CFA d'Aquitaine : https://greta-cfa-aquitaine.fr/fiches/cap-menuisier-fabricant/Lien vers la vidéo [...]
En plus du Foyer, du CDI et du gymnase, les élèves ont accès à la Fexi perm ou à une salle informatique pour travailler et une salle de [...]
Les chambres de l'internat Garçon sont composées en majorité de 3 lits, armoires et bureaux avec une salle de douche privative par [...]
40 ans du Bac Pro au Lycée des Métiers Sud Gironde !Une très belle visite ce jeudi matin avec la présence de M. le Dasen, François Xavier Pestel, [...]
Découvrir nos formations autrementLe Lycée des Métiers de l’Industrie et de l’Habitat du Sud-Gironde propose chaque année des mini-stages [...]
Pour visiter l'atelier de chaudronnerie-serrurier-métallier: cliquer ici.Une vidéo sur le métier: cliquer iciLa Métallerie s'inscrit dans les [...]
Nous avons la chance d’être entourés d’un réseau d’entreprises dynamiques et engagées, qui accompagnent le Lycée des [...]
Soutenez la formation professionnelle en Sud-GirondeLe Lycée des Métiers Sud Gironde remercie chaleureusement les entreprises qui, année après [...]
1. Rectorat de Bordeaux – Académie de BordeauxAutorité académique de tutelle, le Rectorat assure l’organisation, la validation et [...]
Pour visiter l'atelier Maintenance: cliquer ici. et ici.une vidéo sur le métier: cliquer ici.Bac Professionnel Maintenance des systèmes de production [...]
Le Bureau des Entreprises (BDE) est une structure stratégique déployée dans les lycées professionnels pour renforcer la relation entre [...]
Lien d'accès PronotePour vous connecter à l'espace Pronote du lycée des métiers du Sud Gironde vous devrez utiliser vos identifiants et mots de [...]
AccueilStandard : Tél 05 57 98 11 60 DirectionProviseur : David VANDERPLANCKEProviseur Adjoint : Julien DELSOLSecrétariat : Elisabeth FAUQUE et Florence [...]
ProviseurLe proviseur, ou chef d'établissement est le responsable du lycée. Cela implique plusieurs rôles :1/ Il est le représentant du [...]
Quel public?Les Pôles d'accompagnement à la persévérance scolaire sont destinés aux élèves de plus de 16 ans sortis [...]
Pour visiter l'atelier Bois: cliquer ici.Une vidéo sur le métier: cliquer ici.Ce baccalauréat professionnel se prépare après une Seconde Pro [...]
Pour visiter l'atelier de chaudronnerie-serrurier-métallier: cliquer ici.Une vidéo sur le métier: cliquer ici.Le titulaire du bac professionnel Technicien [...]
Pour visiter l'atelier Bois: cliquer ici.présentation d'une orientation en Bac Pro "TCB" Le titulaire du bac professionnel est un technicien de la [...]
Le lycée des métiers du Sud Gironde propose une classe de 3ème Prépa Métiers ; cette classe permet l'acquisition des savoirs indispensables [...]
Pour visiter l'atelier Bois: cliquer ici.Présentation d'une orientation en CAP MenuiserieCAP Menuisier FabricantLe titulaire du CAP Menuisier Fabricant est [...]
Deux fédérations de Parents sont actives au sein du lycée: La FCPE 10 All. Garros, 33210 Langon 05 56 63 47 96L'AAPEL 3 All. [...]
Une visite de l'empire du milieu : C'est dans le cadre de travaux menés avec l'association rempart à Villandraut que Mme Johanna [...]
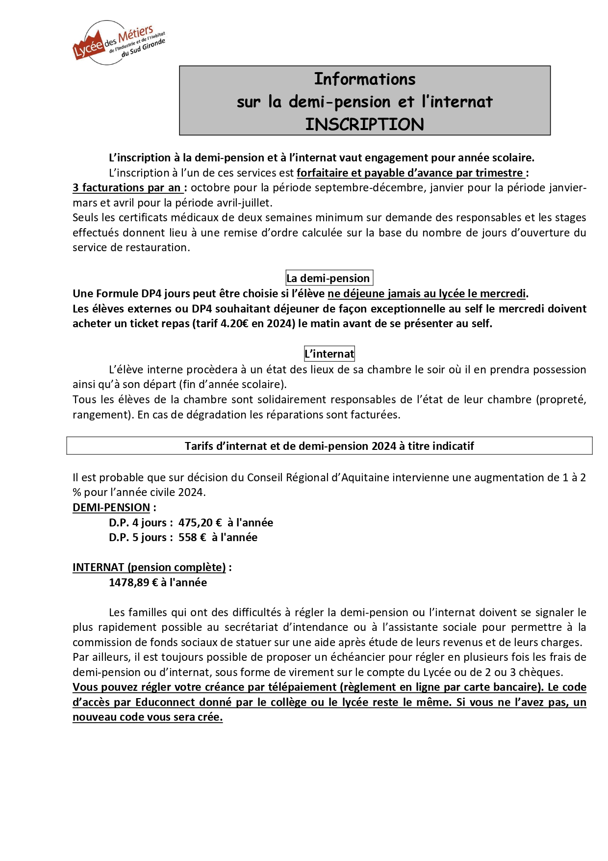
L'internat du lycée peut accueillir 90 élèves, dont 10 filles.Il se situe dans une aile du lycée et se divise en chambres de 2 à 4 places. [...]
Les CAP Menuisier ont réalisé un chef d’œuvre qui consiste à construire une ruche pour nos amis les abeilles [...]
Bonjour, Afin de vous accompagner tout au long de l'année au lycée, nous avons mis en place ce "padlet" dans lequel vous trouverez [...]
Ce mardi 07 octobre, 110 élèves du lycée ont participé à nettoyer leur lycée et ses abords dans le bassin scolaire de [...]
Nos élèves de terminales sont partis effectuer leur PFMP au Danemark. Lundi, les élèves ont passé la matinée à [...]
Échange franco allemand : six apprentis allemands accueillis au lycée des métiers Sud Gironde Dans le cadre du projet Protandem, le lycée des [...]
Woodrise 2025 : un voyage pédagogique international pour nos élèves de Construction Bois Du 19 au 25 septembre 2025, une délégation du [...]
A l'initiative des élèves du CVL, deux distributeurs de protections périodiques ont été installés au lycée et à [...]
Les élèves du bureau de la Maison des Lycéens (MDL) ont rénové le foyer pour lui donner un esprit "cafet" et prendre en charge sa [...]
C'est une association loi 1901, gérée par les lycéens, qui vit grâce aux adhésions des élèves.Quel est son but ?La MDL vise [...]
Mardi 13 février, une quinzaine d'élèves internes volontaires ont pu assister à la représentation de West Side Story au Grand [...]
Lundi 09/12/24, 20 élèves (pour la plupart internes) ont pu assister à la représentation de Casse Noisette, au Grand Théâtre de [...]
Cinq élèves méritants de terminales Bac Pro et de CAP ont reçu un prix décerné par le Lions Club du Sauternes entourés de [...]
Dans le cadre de notre Label E3D (Développement Durable), les élèves de chaudronnerie ont fabriqué des cendriers de tri qui seront [...]
Dans le cadre du projet "Notre Ecole Faisons là ensemble", nous avons pu redonner un nouvel élan à la salle d'étude utilisée [...]
La Maison des lycéens est une association des élèves pour les élèves hébergée dans le lycée. Elle dispose d'un local le [...]
le lycée de Langon "raffle" deux prix de chef d'oeuvre 2025 !- Le prix académique du chef d’œuvre pour le CAP Métallier remis par M. [...]
Le lycée des métiers Sud Gironde s'est lancé dans le projet Protandem Franco -Allemand [...]
Quand la formation CAP RICS rencontre la nature et la science à Le Barp [...]
Woodrise à Vancouver [...]
les élèves de CAP métallier ont travaillé à la réalisation d'une patère pour accrocher une lanterne type XIX [...]
Le mardi 27 mai 2025, dans le cadre "du joli mois de l'Europe" les élèves de la classe de 1TMA du lycée Sud Gironde accompagnés par leurs [...]
Ils étaient une quinzaine de gilets jaunes casqués de blanc à déambuler sous les panneaux photovoltaïques de la centrale solaire de Brannens, mardi [...]
Le Recteur en visite au Lycée des Métiers de Langon : une filière d’excellence à l’honneurLe 27 mars, le Lycée des Métiers de [...]
Dans le cadre de la journée Non au Harcèlement, le 9 novembre 2024, la gendarmerie de Langon Toulenne est venue animer des séances de prévention [...]
Vendredi 15 novembre, l'association RESONANTES est intervenu auprès de deux classes, pour présenter une exposition et débattre sur les violences du [...]
Tous les lundis en semaine A de 11h00 à 12h00, venez participer à l'atelier Radio du Lycée. Première séance le 25 novembre en salle [...]
Plusieurs classes ont réalisé des projets qualitatifs avec leurs enseignants et ont reçu plusieurs prix pour leur initiative:Les 2 REMI ont eu le 2ième [...]
Pendant deux jours les élèves de terminales ont pu rencontrer des professionnels et des partenaires de l'établissement pour se questionner sur leur [...]
Ce vendredi 22 décembre 2023, une grande partie des élèves du lycée des métiers Sud Gironde a participé à une matinée [...]
L'inauguration de l'Arche WoodRise dans la cour de récréation du lycée a eu lieu vendredi 15 décembre en présence des différents [...]
L'action "Boîte à chaussures" menée en lien avec mon programme d'EMC en première "La Fraternité". Il s'agit [...]
Démarrage de la semaine de l'industrie et de la semaine école-entreprise par une présentation de la SNCF à nos élèves de 2de Bac Pro [...]
Les élus du CVL et d'autres élèves motivés se sont mobilisés vendredi 24 novembre pour participer à la collecte de la Banque [...]
Cette année encore 7 astronautes de 2 REMI s'apprêtent à embarquer dans le vaisseau prix aéronautique et espace destination : " une [...]
Le 02 Octobre 2023, notre classe de 1er TCI s’est rendue à La Sauve dans le cadre de notre projet de chef d'œuvre.Nous sommes partis du lycée en bus [...]
Lors du Congrès International Woodrise au Palais de l'Atlantique à Bordeaux, congrès du bâtiment bois de moyenne et grande hauteur, les [...]
Les élèves de terminales techniciens constructeurs bois (TCB) du Lycée des Métiers Sud Gironde ont, depuis septembre 2022, participé [...]
Dans le cadre d'ERASMUS, 6 élèves effectuent actuellement leur PFMP (période de formation en milieu professionnel) au Danemark. Entre activités [...]
Le Lycée des Métiers Sud Gironde propose des formations du CAP au Bac Professionnel dans divers secteurs de l'industrie. Ces formations sont également [...]
L'ULIS - Unité Localisée pour l'Inclusion ScolaireL'ULIS n’est ni une classe ni une filière de formation. Il s’agit d’un [...]
Pour une modique somme de 18€ pour l'année, les élèves peuvent faire partie de l'Association Sportive du Lycée. Les activités [...]
Comité d’Education à la Santé et à la Citoyenneté Qui ?Proviseur, Proviseur Adjoint, [...]
Lycée des métiers Sud Gironde, 1 avenue des Résistants, 33210 Langonadresse postale: BP 80285 33212 LANGON CEDEX Téléphone: [...]
Retrouvez ici toute l'actualité du CDI du Lycée des Métiers du Sud-Gironde.Le C.D.I. est un grand espace très clair, qui peut accueillir une [...]